تورم یعنی افزایش پیوسته قیمتها که در طولانی مدت به کاهش قدرت خرید خواهد انجامید. نرخ کاهش قدرت خرید را میتوان در افزایش متوسط قیمت سبدی از کالاها و خدمات منتخب در یک دوره زمانی مشاهده کرد. افزایش قیمتها، که اغلب به صورت درصد بیان می شود، به این معنی است که یک واحد پول (مثلاً یک هزار تومان) به طور موثر کمتر از دورههای قبل خرید می کند. تورم را میتوان با فروکش[1] (ضدتورم) مقایسه کرد که زمانی رخ میدهد که قیمتها کاهش یابد و قدرت خرید افزایش یابد.
موضوعاتی که در این متن میخوانید
- درک تورم
- دلایل تورم
- انواع شاخص قیمت
- فرمول اندازهگیری تورم
- مزایا و معایب تورم
- کنترل تورم
درک تورم
در حالی که اندازهگیری تغییرات قیمت تکتک محصولات در طول زمان آسان است، نیازهای انسان فراتر از یک یا دو محصول است. افراد برای داشتن یک زندگی راحت به مجموعه ای بزرگ و متنوع از محصولات و همچنین خدمات زیادی نیاز دارند که شامل کالاهایی مانند غلات غذایی، سوخت، خدمات آب و برق، حمل و نقل و خدماتی مانند مراقبت های بهداشتی، سرگرمی هستند.
تورم قیمتهای مجموعه متنوعی از محصولات و خدمات را تحت تاثیر قرار میدهد. این باعث میشود که سطح عمومی قیمتها در یک دوره مشخص در یک اقتصاد افزایش یابد.
افزایش قیمتها، به این معنی است که یک واحد پول کالا و خدمات کمتری را میتواند بخرد. این از دست دادن قدرت خرید بر هزینههای زندگی برای عموم مردم تأثیر می گذارد که در نهایت منجر به کاهش رشد اقتصادی میشود. دیدگاه غالب در میان اقتصاددانان این است که تورم پایدار زمانی اتفاق میافتد که رشد عرضه پول یک کشور از رشد اقتصادی پیشی بگیرد.
برای مبارزه با این امر، مسئول سیاست پولی کشور (در بیشتر موارد، بانک مرکزی) اقدامات لازم را برای مدیریت عرضۀ پول و اعتبار انجام میدهد تا تورم را در محدوده مجاز نگه دارد و اقتصاد مسیر درست خود را طی کند.
از لحاظ نظری، پولگرایی (monetarism) یک نظریۀ رایج است که رابطه بین تورم و عرضۀ پول یک اقتصاد را توضیح میدهد. به عنوان مثال، پس از فتح امپراتوری های آزتک و اینکا توسط اسپانیا، مقادیر زیادی طلا و به ویژه نقره به اقتصاد اسپانیا و سایر اقتصادهای اروپایی سرازیر شد. از آنجایی که عرضه پول به سرعت افزایش یافت، ارزش پول کاهش یافت و به افزایش سریع قیمت ها کمک کرد.
نظریه مسلط اقتصاد کلان اثبات میکند که هیچ محدودیتی برای تورم وجود ندارد و عامل آن شناخته شده و منحصر به فرد است. این نظریه امروز به نظریه مقداری پول یا نظریه پول تورمی شناخته میشود و توضیح قابل قبولی از رشد قیمتها ارائه میدهد. شکل نوین این نظریه مبتنی بر یک اتحاد یا معادله ریاضی است که در اقتصاد با عنوان Exchange Equation شناخته میشود و به صورت زیر قابل تبیین است:
MV=PY
در این معادله:
- M حجم پول در گردش (شامل اسکناس یا مسکوکات در دست اشخاص یا خارج از نظام بانکی) و موجودی سپردههای اشخاص نزد بانکها است.
- V سرعت گردش پول (متوسط دفعات دست به دست شدن هر واحد پول طی یک دوره) است.
- P بیانگر سطح عمومی قیمت کالاها و خدمات است.
- Y بیانگر سطح تولید (GDP حقیقی یا به قیمت ثابت) است.
در اقتصاد کلان اثبات میشود که رشد تولید در بلند مدت ثابت است و نمیتواند عدد بسیار بزرگی باشد، همچنین سرعت گردش پول در هر اقتصاد ثابت است. بنابراین رشد سطح عمومی قیمتها به رشد حجم پول در گردش بستگی دارد.
تورم بسته به نوع کالا و خدمات به روش های مختلفی اندازهگیری می شود. نقطه مقابل تورم، فروکش است که نشان دهنده کاهش سطح عمومی قیمتها است زمانی اتفاق میافتد که نرخ تورم به زیر 0 درصد می رسد. به خاطر داشته باشید که فروکش نباید با کاهش تورم، که اصطلاحی مرتبط به کاهش سرعت تورم (مثبت) است، اشتباه گرفته شود.
دلایل تورم
افزایش عرضه پول ریشه تورم است، اگرچه این مورد میتواند از طریق مکانیسمهای مختلف در اقتصاد انجام شود. عرضۀ پول یک کشور میتواند توسط مقامات پولی با موارد زیر افزایش یابد:
- چاپ و پخش پول بیشتر بین شهروندان
- کاهش قانونی ارزش پول موجود
- اعطای وام جدید به عنوان اعتبار حساب ذخیره از طریق سیستم بانکی با خرید اوراق قرضه دولتی از بانک ها در بازار ثانویه (متداول ترین روش)
در تمام این موارد، پول در نهایت قدرت خرید خود را از دست می دهد. مکانیسمهای این که چگونه تورم را هدایت میکند را میتوان به سه نوع طبقهبندی کرد: تورم طرف تقاضا، تورم فشاری هزینه، و تورم داخلی.
تورم طرف تقاضا
تورم طرف تقاضا زمانی رخ میدهد که افزایش عرضه پول و اعتبار، تقاضای کلی برای کالاها و خدمات را با سرعت بیشتری نسبت به ظرفیت تولید اقتصاد تحریک کند. این باعث افزایش تقاضا و افزایش قیمت میشود.
وقتی مردم پول بیشتری داشته باشند، به احساسات مثبت مصرف کننده منجر میشود. این به نوبه خود منجر به بیشتر هزینه کردن میشود که قیمت ها را بالاتر میبرد. این شکاف تقاضا-عرضه با تقاضای بالاتر و عرضه کمتر انعطافپذیر ایجاد میکند که منجر به قیمتهای بالاتر می شود.
تورم فشار هزینه
تورم هزينه بر اثر افزايش قيمتها از طريق نهادههاي فرآيند توليد حاصل ميشود. هنگامی که اضافات به عرضه پول و اعتبار به بازارهای کالا یا سایر داراییها هدایت میشود، هزینههای انواع کالاهای واسطه افزایش مییابد. این امر به ویژه زمانی مشهود است که یک شوک اقتصادی منفی به عرضه کالاهای کلیدی وارد شود.
این افزایشها منجر به هزینههای بالاتر برای محصول یا خدمات نهایی میشود و به افزایش قیمت مصرفکننده منجر میشود. به عنوان مثال، هنگامی که عرضه پول گسترش می یابد، قیمت نفت افزایش پیدا میکند. این بدان معنی است که هزینه انرژی افزایش یافته و موجب افزایش قیمت مصرفکننده میشود، که خود را به صورت تورم نشان خواهد داد.
تورم داخلی
تورم داخلی مربوط به انتظارات تطبیقی یا این تصور است که مردم انتظار دارند نرخ تورم فعلی در آینده ادامه یابد. با افزایش قیمت کالاها و خدمات، مردم ممکن است انتظار افزایش مداوم در آینده را با نرخ مشابه داشته باشند. به این ترتیب، کارگران ممکن است برای حفظ استاندارد زندگی خود هزینه یا دستمزد بیشتری را طلب کنند. افزایش دستمزد آنها منجر به قیمت تمام شده کالاها و خدمات میشود و این مارپیچ دستمزد-قیمت همچنان ادامه مییابد که یک عامل عامل دیگر را القا میکند و بالعکس.
انواع شاخص قیمت
بسته به مجموعه انتخابی کالاها و خدمات مورد استفاده، چندین نوع سبد کالا به عنوان شاخص قیمت محاسبه و ارزیابی میشود. شاخصهای قیمتی که معمولاً مورد استفاده قرار میگیرند، شاخص قیمت مصرف کننده (CPI) و شاخص قیمت عمده فروشی (WPI) هستند.
شاخص قیمت مصرف کننده (CPI)
CPI معیاری است که میانگین موزون قیمتهای سبدی از کالاها و خدمات را که از نیازهای اولیه مصرفکننده هستند، بررسی میکند. آنها شامل حمل و نقل، غذا و مراقبت های پزشکی هستند.
CPI با در نظر گرفتن تغییرات قیمت برای هر کالا در سبد از پیش تعیین شده کالا و میانگین آن بر اساس وزن نسبی آنها در کل سبد محاسبه میشود. قیمتهای در نظر گرفته شده، قیمتهای خردهفروشی هر کالا است که برای خرید توسط شهروندان در دسترس است.
تغییرات در CPI برای ارزیابی تغییرات قیمت مرتبط با هزینه زندگی مورد استفاده قرار میگیرد و آن را به یکی از رایجترین آمارهای مورد استفاده برای شناسایی دوره های تورم یا کاهش تورم تبدیل می کند. در ایالات متحده، اداره آمار کار (BLS) شاخص CPI را به صورت ماهانه گزارش می کند و آن را از سال 1913 محاسبه کرده است.
شاخص قیمت عمده فروشی (WPI)
WPI یکی دیگر از معیارهای محبوب تورم است. تغییرات قیمت کالاها را در مراحل قبل از سطح خرده فروشی اندازه گیری و پیگیری می کند.
در حالی که اقلام WPI از یک کشور به کشور دیگر متفاوت است، آنها بیشتر شامل اقلام در سطح تولیدکننده یا عمده فروشی هستند. به عنوان مثال، شامل قیمت پنبه برای پنبه خام، نخ پنبه، کالاهای خاکستری پنبهای و لباسهای پنبهای است.
اگرچه بسیاری از کشورها و سازمانها از WPI استفاده میکنند، اما بسیاری از کشورها، از جمله ایالات متحده، از نوع مشابهی به نام شاخص قیمت تولیدکننده (PPI) استفاده میکنند.
شاخص قیمت تولید کننده (PPI)
PPI خانوادهای از شاخصها است که میانگین تغییر قیمتهای فروش دریافتی توسط تولیدکنندگان داخلی کالاها و خدمات واسطهای را در طول زمان اندازهگیری میکند. PPI تغییرات قیمت را از دیدگاه فروشنده اندازه گیری میکند و با CPI که تغییرات قیمت را از دیدگاه خریدار اندازهگیری میکند متفاوت است.
در همه انواع، ممکن است که افزایش قیمت یک جزء (مثلا روغن) کاهش قیمت در یک جزء دیگر (مثلا گندم) را تا حدی خنثی کند. به طور کلی، هر شاخص نشان دهنده میانگین تغییر وزن وزنی برای اجزای معین است که ممکن است در کل اقتصاد، بخش یا سطح کالا اعمال شود.
فرمول اندازهگیری تورم
متغیرهای ذکر شده در بالا از شاخص های قیمت را می توان برای محاسبه ارزش تورم بین دو ماه (یا سال) خاص استفاده کرد. در حالی که بسیاری از ماشینحسابهای تورم آماده در حال حاضر در درگاهها و وبسایتهای مالی مختلف موجود هستند، همیشه بهتر است از روشهای زیربنایی برای اطمینان از صحت با درک روشنی از محاسبات آگاه باشید. اقتصاددانان همواره قیمتها را نسبت به یک سال به نام سال پایه میسنجند. از نظر ریاضی،
نرخ تورم درصد = (مقدار شاخص CPI نهایی/مقدار CPI در سال پایه) x ۱۰۰
نرخ تورم به روشهای مختلفی قابل محاسبه است.
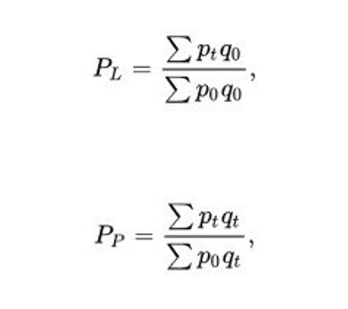
شاخص لاسپیرز
در شاخص لاسپیرز مجموع قیمت هر کالا ضربدر مقدار مصرف آن در سال پایه تقسیم بر مجموع قیمت هر کالا در سال پایه ضربدر مقدار آن در سال پایه محاسبه میشود.
شاخص پاشه
در شاخص پاشه مجموع قیمت هر کالا ضربدر مقدار مصرف آن در سال در حال محاسبه تقسیم بر مجموع قیمت هر کالا در سال پایه ضربدر مقدار آن در سال پایه محاسبه میشود.

مزایا و معایب تورم
علم اقتصاد با پدیدهها به صورت اثباتی برخورد میکند و آنها را لزوماً خوب یا بد دستهبندی نمیکند. تورم نیز مانند هر پدیده دیگر در علم اقتصاد مزایا و معیابی دارد.
مزایا
افرادی که داراییهای مشهود (مانند داراییها یا کالاهای ذخیرهشده) به ارز اصلی خود قیمتگذاری شدهاند، ممکن است دوست داشته باشند مقداری تورم ببینند، زیرا قیمت داراییهایشان را افزایش میدهد، که میتوانند آن را با نرخ بالاتری بفروشند.
تورم اغلب منجر به سفته بازی توسط مشاغل در پروژه های پرخطر و توسط افرادی می شود که در سهام شرکتها سرمایهگذاری میکنند زیرا آنها انتظار بازدهی بهتری نسبت به تورم دارند.
بسیاری از اقتصاددانان توصیه میکنند که نرخ تورم باید یک رقمی (اصولاً ۲ درصد) نگهداشته شود تا فعالین اقتصادی را به خرج کردن به جای پسانداز سوق دهد. اگر قدرت خرید پول در طول زمان کاهش یابد، ممکن است انگیزه بیشتری برای خرج کردن به جای پسانداز و خرجکردن در زمان بعدی وجود داشته باشد. ممکن است هزینهها را افزایش دهد که ممکن است فعالیتهای اقتصادی را در یک کشور تقویت کند. تصور میشود که یک رویکرد متعادل، ارزش تورم را در محدوده بهینه و مطلوب نگه میدارد.
معایب
خریداران چنین داراییهایی ممکن است از تورم راضی نباشند، زیرا باید پول بیشتری بپردازند. افرادی که داراییهایی با ارزش پول اصلی خود مانند پول نقد یا اوراق قرضه دارند، ممکن است تورم را دوست نداشته باشند، زیرا ارزش واقعی دارایی آنها را از بین میبرد. به این ترتیب، سرمایهگذارانی که به دنبال محافظت از پرتفوی خود در برابر تورم هستند، باید طبقات داراییهای محافظت شده تحت پوشش تورم، مانند طلا، کالاها و تراست های سرمایه گذاری املاک و مستغلات (REIT) را در نظر بگیرند. اوراق قرضه شاخص تورمی یکی دیگر از گزینه های محبوب برای سرمایهگذاران برای سود بردن از تورم است.
نرخ تورم بالا و متغیر می تواند هزینه های عمدهای را بر اقتصاد تحمیل کند. کسبوکارها، کارگران و مصرفکنندگان باید در تصمیمگیریهای خرید، فروش و برنامهریزی خود، تأثیرات افزایش قیمتها را در نظر بگیرند. این یک منبع اضافی از عدم اطمینان را به اقتصاد وارد می کند، زیرا آنها ممکن است در مورد نرخ تورم آینده به اشتباه حدس بزنند. انتظار میرود زمان و منابع صرف شده برای تحقیق، برآورد و تعدیل رفتار اقتصادی تا سطح عمومی قیمت ها افزایش یابد. این با مبانی اقتصادی واقعی مخالف است، که ناگزیر هزینهای را برای اقتصاد به عنوان یک کل نشان میدهد.
حتی نرخ تورم پایین، باثبات و به راحتی قابل پیش بینی، که برخی آن را بهینه میدانند، ممکن است منجر به مشکلات جدی در اقتصاد شود. دلیل آن این است که پول جدید چگونه، کجا و چه زمانی وارد اقتصاد میشود. هر زمان که پول و اعتبار جدید وارد اقتصاد میشود، همیشه در دست افراد خاص یا شرکتهای تجاری است. فرآیند تعدیل سطح قیمت به عرضه پول جدید، زمانی ادامه مییابد که آنها پول جدید را خرج میکنند و از دستی به دست دیگر و حسابی به حساب دیگر در اقتصاد میچرخند.
تورم ابتدا برخی از قیمت ها را بالا می برد و بعداً قیمت های دیگر را افزایش می دهد. این تغییر متوالی در قدرت خرید و قیمت ها (معروف به اثر Cantillon) به این معنی است که روند تورم نه تنها سطح عمومی قیمت را در طول زمان افزایش میدهد. اما در طول مسیر قیمتها، دستمزدها و نرخهای بازده نسبی را نیز مخدوش میکند. اقتصاددانان به طور کلی درک می کنند که اعوجاج قیمت های نسبی به دور از تعادل اقتصادی برای اقتصاد خوب نیست، و اقتصاددانان اتریشی حتی معتقدند که این فرآیند محرک اصلی چرخه های رکود در اقتصاد است.
کنترل تورم
تنظیم کننده مالی یک کشور مسئولیت مهم کنترل تورم را بر عهده دارد. این امر با اجرای اقداماتی از طریق سیاست پولی انجام میشود که به اقدامات بانک مرکزی یا سایر کمیتههایی که اندازه و نرخ رشد عرضه پول را تعیین می کنند (در ایران شورای پول و اعتبار)، اشاره دارد.
در ایالات متحده، اهداف سیاست پولی فدرال رزرو شامل نرخ بهره بلند مدت متوسط، ثبات قیمت و حداکثر اشتغال است. هر یک از این اهداف برای ایجاد یک محیط مالی با ثبات در نظر گرفته شده است. فدرال رزرو به وضوح اهداف بلندمدت تورم را به منظور حفظ نرخ تورم بلندمدت ثابت، که تصور می شود برای اقتصاد مفید است، اعلام می کند.
ثبات قیمت – یا سطح نسبتاً ثابت تورم – به کسب و کارها این امکان را می دهد که برای آینده برنامه ریزی کنند زیرا می دانند چه انتظاری دارند. فدرال رزرو معتقد است که این امر حداکثر اشتغال را ارتقا می دهد، که توسط عوامل غیر پولی تعیین می شود که در طول زمان در نوسان هستند و بنابراین در معرض تغییر هستند. به همین دلیل، فدرال رزرو هدف خاصی را برای حداکثر اشتغال تعیین نمی کند و تا حد زیادی توسط ارزیابی های کارفرمایان تعیین می شود. حداکثر اشتغال به معنای بیکاری صفر نیست، زیرا در هر زمان سطح مشخصی از نوسانات وجود دارد زیرا افراد خالی می شوند و مشاغل جدید را شروع می کنند.
از حدود دهه ۹۰ اکثر کشورهای دنیا به این نتیجه رسیدند که باید تورم را کنترل کنند و پس از آن جز در چند کشور که متاسفانه ایران هم یکی از آنهاست، نرخهای تورم بالا مشاهده نشد. این سیاستها با عنوان سیاست هدفگذاری تورم (Inflation Targeting) شناخته میشود. از سوی نهادهای بینالمللی نرخ ۲ درصد تورم سالانه، بهینه معرفی میشود. البته کشورهای مختلف هدفگذاریهای مختلفی برای نرخ تورم دارند: هدف هند حدود 4 درصد (با تلورانس بالا 6 درصد و تحمل کمتر 2 درصد) است، در حالی که برزیل 3.5 درصد (با تلورانس بالا 5 درصد و تحمل کمتر 2 درصد) را هدف قرار داده است.
این مطالب توسط تیم دانشجویی پادکست سکه تهیه شده است و خالی از اشکال نیست، میتوانید در صورت تمایل در بهبود آنها کمک کنید.
[1] Deflation